• 草莓视频苹果下载,草莓视频成人网站,草莓视频APP污黄,草莓视频污版下载网址

    东莞市草莓视频苹果下载仪器设备有限公司主营: 冷热冲击草莓视频成人网站、 高低温温冲击草莓视频APP污黄、 高低温冲击箱等产品!

    咨询服务热线:400-822-8565 网站地图 生产实力

    您的位置: 首页 > 草莓视频污版下载网址资讯

    气弹簧高低温疲劳试验方法与装置开发研究

    文章出处: 责任编辑:草莓视频苹果下载仪器 发表时间:2014-01-22
     气弹簧高低温疲劳试验方法与装置开发研究
        气弹簧(Gas spring)是一种不同于传统金属弹簧的弹性元件,通过活塞在密封
    的缸筒内压缩惰性气体或者油气混合物,利用缸筒活塞两侧的压力差所产生的轴向
    力来实现支撑、缓冲、制动、复位、高度调节及角度调节等功能,已经广泛用于汽
    车、航空、医疗器械、家具、机械制造等众多领域。随着我国工业的迅速发展,对
    气弹簧产品的性能要求不断提高。2010 年国家标准《GB/T 25750-2010 可锁定气
    弹簧技术条件》和《GB/T 25751-2010 压缩气弹簧技术条件》正式发布实施。国
    家标准中规定了高低温环境下的疲劳试验要求,比此前实施了十几年的行业标准中
    的高低温储存疲劳试验更科学合理,对产品要求更苛刻。
       气弹簧高低温疲劳试验是模拟气弹簧在恶劣环境下工作的试验方法,是气弹簧
    的重要性能指标之一。由于原来的行业标准中没有相应的技术要求,目前国内上还
    没有用于气弹簧的成型检测设备,使国家标准的实施遇到困难。本文对气弹簧高低
    温疲劳试验进行了分析,并介绍气弹簧高低温疲劳草莓视频APP污黄研发情况。
      气弹簧高低温疲劳试验介绍
        气弹簧是由一个密闭缸筒和可以在缸筒内滑动的活塞及活塞杆组件组成的以
    氮气或其他惰性气体为储能介质的弹性元件[1]。其工作原理是利用气体可压缩性,在
    制造过程中进行加压充气,使缸筒内的压力高于大气压的几倍或者几十倍。在工作
    过程中利用活塞杆的横截面积小于活塞的横截面积而产生的压力差来提供支撑力
    以实现活塞杆的运动[2]。
         与传统的金属弹簧相比,气弹簧具有以下特点:压缩和伸展过程中速度相对缓
    慢;阻尼效应可以控制运动速度,避免产生谐振;径向尺寸较小且行程较长,具有
    稳定并且可选择的近乎于线性的弹簧特性;动态力变化不大(通常在 1:1.2 以内)。
    常见的气弹簧的外观结构如图 1-1 所示。
    气弹簧高低温疲劳试验方法与装置开发研究 
         在实际使用过程中,大多数的气弹簧在工作载荷作用下,其缸筒、活塞、活塞
    杆等结构零件的工作应力远低于其屈服极限,出现过载失效的几率不大。但由于非
    预期的载荷作用而造成气弹簧失效的情况也时有发生,近些年甚至发生了数起由于
    介质选用不当而引起的气弹簧爆炸事件。由材质、加工及装配质量等原因引起的气
    弹簧早期压力减小甚至消失的情况也是气弹簧失效的一种形式。为保证气弹簧的质
    量与性能,国家标准中规定了一系列静态性能指标及试验方法。
    在变载荷作用下,经过较长时间使用后发生失效的现象称为气弹簧的疲劳失效
    [3]。 据统计,约有 80%以上的气弹簧失效是由疲劳引起的。气弹簧的疲劳失效已经
    成为气弹簧行业管理者与技术人员所关注的焦点。气弹簧的疲劳失效主要表现为力
       特性的变化,其原因主要是密封件的失效。在气弹簧内部,无论是密封材料还是气
    液介质,均对温度的变化敏感性较强,所以进行高低温环境下的疲劳试验是很有必要的。
       针对国内外的采购商对气弹簧产品的性能要求的不断提高,为推动气弹簧技术进步、提高产品质量及促进行业发展,全国弹簧标准化技术委员会在总结机械行业标准《JB/T 8064.1—1996 压缩气弹簧》、《JB/T 8064.2—1996 可锁定气弹簧》和汽车行业标准《QC/T 207—1996 汽车用普通气弹簧》等标准的实施经验基础上,结合国内外技术发展现状,组织制定了两项气弹簧技术条件国家标准《GB/T 25750—2010 可锁定气弹簧技术条件》及《GB/T 25751—2010 压缩气弹簧技术条件》,并于 2010 年正式发布实施[4][5][6][7]。国家标准将行业标准中未规定的高低温环境下的疲劳试验纳入了标准内容。
        气弹簧最广泛的使用范围为汽车工业,由于汽车行驶环境温度变化较大,对气弹簧在不同环境温度下的使用性能提出了越来越高的要求。气弹簧高低温疲劳试验是模拟气弹簧在高温以及低温环境下工作的动态试验方法,可以正确地评价气弹簧在不同环境温度下的疲劳特性。根据《GB/T 25751—2010 压缩气弹簧技术条件》标准的规定,气弹簧要在低温-40℃和高温+80℃的环境中进行动态循环寿命试验,试验后其公称力的衰减量作为气弹簧的重要性能指标之一。
    目前国内尚无定型的商品化的气弹簧高低温疲劳试验检测设备,绝大部分气弹簧生产厂仍沿用高低温储存疲劳试验,即将气弹簧放置在高温箱及低温箱中保持一段时间后取出,在室温状态上进行疲劳循环试验[8] [9],此时气弹簧已经处于常温状态,并不能真实地模拟气弹簧的实际使用状况。
       国内外发展技术现状
    目前,国际上规模较大、技术较成熟的气弹簧生产企业主要有德国的 STABLIUS公司、DICTATOR 公司、SUSPA 公司以及瑞典的 KALLER 公司等。这些生产企业生产的气弹簧产品种类较多,通过对气弹簧内部机构的不同设计,可以达到不同场合的使用要求。其生产的气弹簧产品性能稳定,工作可靠,几乎垄断了高端气弹簧市场。
      国外生产的气弹簧主要工作温度均为-10℃(使用防冻油液可达-30℃)~+80℃。在产品出厂前,各制造厂均会对气弹簧的疲劳特性进行测试。试验包括低温状态、常温状态以及高温状态下的疲劳试验,不同试验状态下的疲劳试验均采用不同的试验设备进行测试。
    目前尚无气弹簧性能检测的国际标准或国外国家标准,大部分的气弹簧生产企业均依据企业标准或合同要求进行生产和相关试验。各大生产企业几乎都是根据自身使用条件开发相应的检测试验设备以进行试验。如美国某汽车公司的企业标准中对气弹簧的高低温疲劳试验规定如下:将气弹簧总成用金属部件夹持,以 6 次/分钟的速度对其加以循环载荷。先将其放置在+25℃±1.8℃的环境温度下,进行 6600 次循环试验;然后将其放置在-28℃±1.8℃的环境温度下,进行 200 次循环试验;最后将气弹簧总成放置在+32℃±1.8℃的环境温度下,进行 200 次循环试验。气弹簧的公称力变化应不大于 8%。
    我国规模较大的气弹簧生产企业有 100 多家,主要分布在浙江、江苏、上海、广东和山东等地。相对于上述国际知名气弹簧生产企业,我国气弹簧生产企业以生产制造型为主,在相关的理论研究及试验方面投入较少。由于较早的气弹簧行业标准中并未对气弹簧在高低温环境下的疲劳试验进行规定,且绝大部分企业都不具备高低温环境疲劳试验的检测能力,目前仍沿用常温状态下的疲劳试验和高低温贮存疲劳试验方法。
    从上世纪九十年代开始,全国弹簧标准化技术委员会就开始组织相关企业进行气弹簧疲劳性能方面的研究工作,对气弹簧产品进行了大量的检测试验并取得了手数据。但限于当时技术水平及试验能力的制约,研究的深度及系统性不够。
       研究意义及目的
       气弹簧在我国是一个起步较晚的行业,也是一个比较小的行业,随着我国制造业的迅速发展,国际竞争的日益激烈,对气弹簧产品安全稳定工作的性能要求也日益提高,而气弹簧生产企业及第三方检测机构气弹簧性能检测设备则显现出明显不足。
       近些年来,基础零部件行业面临转型升级,对高档产品的需求呈上升趋势,中机生产力促进中心配备的试验设备只能进行气弹簧力学性能试验及常温疲劳试验,远远不能满足日益增大的检测试验需求。亟需增加一台高低温疲劳草莓视频APP污黄,以填补试验室在此领域的空白。
       机械工业通用零部件产品质量监督检测中心,作为国内针对气弹簧产品的第三方检测机构,具备气弹簧常规检测能力,可以进行气弹簧力学性能试验及常温疲劳试验,但目前尚不具备气弹簧高低温疲劳试验手段。
    国内已有企业在原有常温疲劳草莓视频APP污黄的基础上,自行开发了气弹簧高低温疲劳试验装置,但其结构比较简单,且缺少试验验证结果,尚不能满足国家标准的要求,仍未形成商品化的产品。
    研发气弹簧高低温疲劳草莓视频APP污黄,实现使用同一台设备进行高温及低温两种不同的环境状态下的气弹簧疲劳试验的检测,,为机械工业通用零部件产品质量监督检测中心及气弹簧行业提供满足国家标准试验要求的试验手段,对推动我国的气弹簧行业的生产制造和质量保证,提升国际竞争力具有十分重要的意义。
    研究内容
    对气弹簧进行理论分析,提出气弹簧疲劳试验的理论基础。对气弹簧在高低温环境下的疲劳试验进行理论分析研究,在不同的环境温度下对气弹簧产品进行加速疲劳试验获取气弹簧的疲劳特性随温度变化的关系。采集试验过程中气弹簧的弹簧力的变化以及气弹簧油液的泄露量,分析解释气弹簧在不同环境温度下的疲劳失效形式及原因。
    通过对气弹簧动态疲劳草莓视频APP污黄动力传递系统、机电控制系统、软件系统的相关研究,实现以下气弹簧高低温疲劳试验技术参数:
    1)测量气弹簧行程范围 S:1~250mm;
    2)测量气弹簧长度范围 L:100~800mm;
    3)试验频率范围:0.03~0.1Hz(2~6 次/min);
    4)加载范围:0~3000N;
    5)温度范围:-60℃~+120℃;
    6)温度波动度:±1℃;
    7)温度均匀度:≤2.0℃;
    8)温度偏差:±2.0℃;
    9)草莓视频APP污黄符合 GB/T 25751—2010 技术要求;
    第二章 气弹簧高低温疲劳试验分析
       气弹簧按照不同的结构形式,可分为压缩气弹簧与可锁定气弹簧两大类。压缩气弹簧是指在无外力作用下活塞杆呈自由伸展状态,在承受大于其举升力的外力时收缩,达到力平衡或压缩终点时停止,外力撤出或减小时回弹的气弹簧。可锁定气弹簧基本原理与压缩气弹簧类似,增加了锁定机构,结构有所不同。本文以压缩气弹簧(文中简称气弹簧)为研究对象,研究其他类型气弹簧时需要考虑结构的不同和控制上的差异。
    2.1 简化气弹簧
    为了建立合理的数学模型以说明气弹簧的特性,首先将气弹簧进行简化,缸筒简化为刚性体,并假定介质为理想的线性弹性体,不考虑气弹簧内部摩擦以及温度变化的影响。图 2-1 为简化气弹簧的结构示意图。
    气弹簧高低温疲劳试验方法与装置开发研究 
    2.1.1 简化气弹簧的力特性
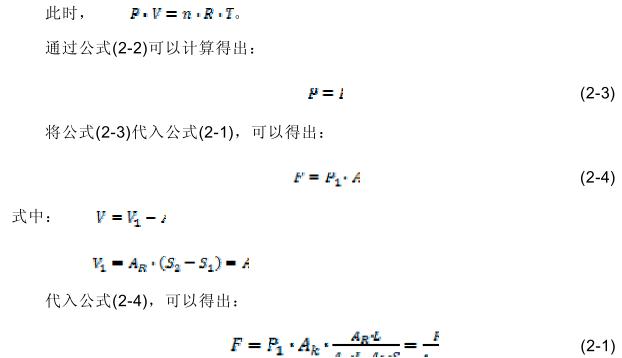
       如图 2-1 所示,在外部施加压力 的状态下,设横截面积为的活塞杆在横截面积为
    的缸筒中沿轴向运动。活塞杆与缸筒之间密封,活塞上有一阻尼孔使活塞两侧联通,介质压力为 。在有效工作行程中的任意位置,压力平衡时均有:
     
       由公式(2-1)可知, 在简化气弹簧中, 弹簧力 是缸筒内的压力 与活塞杆横截面积的乘积。
    设气弹簧完全伸展状态下的活塞位置为S,对应于此状态下的缸筒内压力为,此时气弹簧作用力如下:
     
       现将气弹簧完全伸展状态以及完全压缩状态下的弹簧力对应地绘制于图 2-1中,可以看出,在简化状态下,弹簧作用力与进入缸筒内的活塞杆长度呈线性关系。将气弹簧的压缩与 伸展过程简化为符合公式 (2-2) 的热力学多方过程(Polytropic Equation)。由气体特性可知,缸筒内的压力与气体体积之间的关系为:
     
    式中: 为缸筒内气体压力;为缸筒内气体体积;为多方指数,为实数;为常数;在恒温状态下(即保证活塞杆运动过程中缸筒内的气体温度保持不变)。热力学多方方程与理想气体状态方程(克拉伯龙方程)等价。
     
     
    气弹簧高低温疲劳试验方法与装置开发研究 
    是气弹簧完全伸展状态下的可压缩气体体积,即气弹簧的活塞杆处于位置时的体积。 是活塞杆压入缸筒内的长度。由公式(2-1)可知,对气弹簧力特性有影响的因素有以下几个:
    ——完全伸展状态时缸筒内气体的压力;
    ——活塞杆的横截面积;
    ——可压缩气体的体积
    或者缸筒的横截面积;
    公式(2-1)中假设则可简化如下:
    通过改变公式(2-1)中可变参数的值,可以得出如图 2-2 所示的特性曲线。
    气弹簧高低温疲劳试验方法与装置开发研究 
     
        从图 2-2 可以看出,在气弹簧活塞杆横截面积及缸筒的横截面积不变的情况下,随着完全伸展状态时缸筒内气体的压力的增大,弹簧特性会相应地出现向上的偏移。在气弹簧完全伸展状态时缸筒内气体的压力及缸筒的横截面积不变的情况下,随着活塞杆的横截面积
    的增大,弹簧特性会相应地出现向上偏移。在气弹簧完全伸展状态附近,弹簧特性呈线性上升趋势;在气弹簧完全压缩状态附近,弹簧特性呈指数上升趋势。在气弹簧完全伸展状态时缸筒内气体的压力及活塞杆横截面积不变的情况下,随着缸筒横截面积的减小,弹簧特性呈指数上升趋势。
    2.1.2 简化气弹簧的弹簧特性和刚度
        文中引入弹力比率 表示气弹簧在完全压缩状态时的公称力与完全伸展状态时的公称力
    的比值。此值与弹簧特性曲线是否呈线性无关。即:
     
    由公式(2-1)可以看出,为了要得到更小的弹力比率 ,可以增大缸筒的体积或减小活塞杆的横截面积。将公式(2-1)进行微分,可以得到时的弹簧刚度 如下:
     
    假定气弹簧的弹簧特性为线性,则弹簧刚度可以通过对弹簧特性的增加率计算如下:
     
    通过以上分析可以看出,气弹簧的刚度特性可以用气弹簧的基本参数与弹簧特性表示。
      实际气弹簧
       气弹簧在实际使用过程中,会受到密封件的摩擦阻力、阻尼孔的流体阻力以及缸筒内温度变化等因素的影响而表现出与简化气弹簧不同的弹簧特性。下面对实际气弹簧的弹簧特性展开分析。
    2.2.1 实际气弹簧的弹簧力和弹簧特性
       图 2-4 为实际气弹簧的弹性特性的分析图。从图 2-4 中可以看出,气弹簧在 A 点处于完全伸展状态,此时施加外力,弹性特性曲线沿箭头方向从 A 点向 B 点变化,气弹簧在 B 点处被完全压缩。撤除外力后,其弹簧力并非按 B-A 变化,而是沿平行于 B-A 的一条曲线变化。在此过程中,必须克服与运动方向相反的摩擦力。而整个过程中弹簧力的方向始终不变,压缩和回弹过程中弹簧力与摩擦力合成的变化形成了回滞现象,气弹簧伸展力与压缩力与简化气弹簧的弹簧力的差值基本相同,动态摩擦力的存在是因为阻尼孔内的流体阻力以及密封件之间滑动摩擦力的综合作用。不同种类摩擦力的产生及其大小取决于气弹簧的运动状态。如果活塞杆处于压缩状态或伸展状态,则动态摩擦力作为摩擦力出现;当活塞杆处于停止状态时,静态摩擦力作为摩擦力出现。
    气弹簧高低温疲劳试验方法与装置开发研究 
    气弹簧高低温疲劳试验方法与装置开发研究 
         针对上述的实际气弹簧在使用过程中可能出现的这两种摩擦力的区别可以对应地进行两种不同类型的测量。
    1) 动态测量法
       气弹簧以一个恒定的速率从完全伸展位置被压缩至完全压缩位置。之后,活塞杆以某种可控制的方式以相同的速率伸展。测量和记录整个过程中的力特性并绘制力-位移曲线。
    气弹簧伸展或压缩过程中的流体阻力依赖于测量或调整的速度。因此,对应较大的压缩或伸展速度,会产生更大的动摩擦力;对应较小的压缩或伸展速度,则动摩擦力也会相应减小。流体阻力同时也受阻尼孔形状和大小的影响。
    2) 静态测量法
        与动态测量法类似,静态测量也是在恒定的速度下进行的测量,只是在测量某点时中断活塞杆的运动来测量弹簧力,将整个状态下的力特性记录下来并绘制力-位移曲线。根据图 2-4 可知,气弹簧伸展力和压缩力与简化气弹簧的弹簧力的差值基本相同,静态摩擦力的产生是因为密封部件间存在静态摩擦力。静态摩擦力通常大于动态摩擦力,因此在活塞杆的伸展过程中,对应于静态摩擦力的弹簧力要大于对应于动态摩擦力的弹簧力。
    上述两种不同的测试方法均是在标准室温下进行的。为了获得可重复的测量结果,在进行测量之前要预先进行两次预压缩。图 2-5 表示出气弹簧运行过程中前三个行程中的弹簧特性。
    气弹簧高低温疲劳试验方法与装置开发研究 
         在第 1 次行程中最初处出现的峰值力被称为气弹簧启动力。气弹簧启动力会在气弹簧初次使用或长期未使用时出现,这是因为密封圈下的润滑剂不足而造成静摩擦力增加。第 2 行程和第 3 行程所测得数据基本相同,是因为此时气弹簧启动力已经被消除掉了。
       综上所述,弹簧力的大小可以由缸筒内的初始压力,弹簧特性的大小以及气弹簧形状尺寸(缸筒和活塞杆的横截面积)所决定。
        气弹簧的使用寿命
        气弹簧的使用寿命可以用其完全伸缩并且正常工作的次数来表征。一般的气弹簧都是按照能够运行 50,000 次而不发生失效来设计的。根据气弹簧的不同使用要求,经常会对气弹簧的使用寿命提出更高的要求,例如在旋转座椅中使用的气弹簧要求其可以达到使用一百万次不发生失效。国家标准 GB/T 25751—2010 中的 6.5.2 款对气弹簧的环境循环寿命做出了详细的规定:使用环境恶劣的气弹簧经-40℃ 1000 次和+80℃ 1000 次高低温动态循
    环疲劳寿命试验后,其公称力的衰减量应不大于 5%。经高低温动态循环寿命试验的气弹簧,再经常温 18000 次循环寿命(行程≤200mm 时,按实际行程;行程>15200mm 时,按 200mm)试验后,其公称力的总衰减量应不大于 13%,其动态摩擦力应符合标准 GB/T 25751—2010 中表 2 的规定,油液带出量应小于 0.5g。
    2.4 气弹簧疲劳失效分析
        总体而言,气弹簧发生疲劳失效是不同原因综合作用的结果。但气弹簧在不同
    的环境温度下使用时,其使用性能及使用寿命也存在差异。在常温情况下,气弹簧的疲劳失效的发生主要表现为由于密封件老化引起的漏油漏气、气弹簧缸体因活塞与缸体之间的摩擦力作用变形而导致的卡阻、缸筒内油气混合的自然泄露而产生的举升力不足、自锁力减小甚至为零等。
       气弹簧的密封属于接触式密封,接触式密封是指密封件与被密封件之间相接触的一类密封方式。摩擦和磨损是气弹簧密封圈损坏的主要形式,动密封间由于相对运动而产生摩擦,导致发热和零件表面的磨损,最终引起气体泄漏及密封件损坏;磨损程度取决于摩擦力的大小,当压力缸内的压力逐渐增大时,密封圈与缸体之间的接触面积和摩擦力也随之增大。在气弹簧的使用过程中,橡胶密封在摩擦功的作用下,表面因产生疲劳而磨损;同时,橡胶产生的应变会引起橡胶内部生热,从而导致表面老化。在常温情况下,环境温度对气弹簧各零部件的影响较小,因此可以不考虑温度对其使用寿命的影响。此时,气弹簧失效的主要原因为各零部件在制造过程中的误差以及密封零件的老化。气弹簧本身的结构也会影响气弹簧的使用性能,若气弹簧的工作行程过长,则会降低气弹簧的稳定性,气弹簧的活塞杆在受力后产生形变,会加重活塞杆与缸筒内壁以及活塞杆与密封元件之间的摩擦,进而导致缸筒的内壁和密封件磨损,造成气密性下降。而且,气弹簧在工作的过程中如果受到外界碰撞,会导致气弹簧的内壁表面形成凹凸痕迹,此种情况下,活塞杆在伸展和压缩的过程中会引起密封件的划伤和磨损,从而导致油液泄漏的产生,最终影响气弹簧的弹簧力。
        在高温环境下工作的气弹簧,因其工作温度高,油液介质的压力增大,密封材料的弹性模量下降,直接导致刚度下降,承载能力变小,气弹簧缸筒内气体温度升高加速了橡胶密封的热氧老化反应及性能变质。因此要求其密封材料有较好的热稳定性、抗松弛或蠕变能力、抗氧化能力、耐介质腐蚀能力。密封元件的老化会导致气弹簧出现漏油漏气现象,最终导致失效。在高温环境下,气弹簧内部填充的油气混合物的粘度会较之常温状态时变小,加重油液介质泄漏,严重情况下会导致气弹簧举升力不足。在低温下工作的气弹簧,要求其材料应具有良好的低温韧性。低温下气弹簧缸
        16筒内的油液混合介质的粘度会增大,从而导致气弹簧在运行过程中的阻力增大、加
    速各零部件之间的磨损,失稳危险性加大,从而导致配合间隙增大,形成沟槽而最终导致油气泄漏而失效。气弹簧的密封件一般为非金属材料,对温度的敏感性高,在高温、低温和高低温环境交替条件下会加速老化而失去弹性,影响密封,情况较严重时,会出现龟裂、硬化等情况,对气弹簧的使用寿命产生明显影响。气弹簧在恶劣环境温度下的加速试验可以缩短疲劳试验周期,在最短时间内使气弹簧发生疲劳失效。因此,在的气弹簧发展状况下,我国新国标对气弹簧高温及低温环境下的循环寿命试验做出了详细规定。
    http://www.sdypx.com 

    电话

    贾小姐

    15899697899

    微信

    二维码

    加微信好友

    邮箱

    电子邮箱

    zhenghang@vip.126.com

    网站地图